Kredi Hesaplaması Nedir?
Bir krediye başvurmadan önce, aylık taksitlerin ne kadar olacağını, toplam geri ödemenin nasıl hesaplandığını ve faiz oranlarının maliyet üzerindeki etkisini anlamak oldukça önemlidir. Kredi hesaplaması, bireylerin ya da işletmelerin kredi maliyetlerini önceden analiz ederek doğru finansal kararlar vermesine yardımcı olan temel bir finans işlemdir.
Kredi Hesaplamasının Tanımı
Kredi hesaplaması, kullanılan kredi tutarı, faiz oranı, vade süresi ve ödeme planına göre aylık taksitlerin ve toplam geri ödenecek tutarın hesaplanması işlemidir.
Kredi hesaplamasında genellikle kullanılan model:
Eşit Taksitli (Annuitet) Yöntemi’dir.
Bu yöntemde her ay ödenen taksit tutarı aynıdır; ancak taksitin içindeki faiz ve anapara payı değişir.
Kredi Hesaplamasında Kullanılan Temel Kavramlar
1. Anapara (Kredi Tutarı)
Bankadan çekilen toplam para miktarıdır.
2. Faiz Oranı
Kredi karşılığında bankaya ödenen maliyet yüzdesidir.
Aylık veya yıllık olabilir.
3. Vade (Süre)
Kredinin kaç ayda geri ödeneceğini gösterir.
4. Aylık Taksit
Her ay ödenecek sabit tutardır.
5. Toplam Maliyet
Kredinin toplam geri ödemesi =
Anapara + Faiz + Vergi + Masraflar
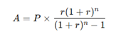
Eşit Taksitli Kredi Hesaplama Formülü
Annuitet yönteminde aylık taksit şu formülle hesaplanır:

A: Aylık taksit
P: Kredi tutarı (anapara)
r: Aylık faiz oranı
n: Vade (ay olarak)
Bu formül, tüm tüketici kredilerinin hesaplanmasında dünya genelinde kullanılan standart formüldür.
Örnek Kredi Hesaplaması
Kredi Tutarı: 100.000 TL
Aylık Faiz: %2 (0,02)
Vade: 36 ay
Formüle göre:
Aylık taksit ≈ 3.848 TL
Toplam geri ödeme ≈ 138.600 TL
Toplam faiz maliyeti ≈ 38.600 TL
Bu örnek, faiz oranının kredi maliyetine etkisini açıkça gösterir.
Kredi Hesaplamasında Dikkat Edilmesi Gerekenler
1. Etkin Yıllık Faiz Oranı (APR)
Bankaların açıkladığı faiz oranı düşük görünse de, vergi ve masraflar maliyeti artırabilir.
2. Dosya Masrafları ve Ücretler
- Tahsis ücreti
- Ekspertiz ücreti
- Sigorta masrafı
Gerçek kredi maliyeti, bu masraflarla birlikte hesaplanmalıdır.
3. Erken Ödeme Ücreti
Bazı kredilerde erken kapatma cezası olabilir (%1–%2).
4. Değişken Faizli Krediler
Ödeme planı faiz oranına göre değişebilir.
Kredi Hesaplamasının Önemi
- Bütçeye uygun kredi seçmeye yardımcı olur.
- Aylık ödeme kapasitesini netleştirir.
- Farklı bankaların tekliflerini karşılaştırmayı sağlar.
- Toplam maliyet görünür hale gelir.
- Borçlanma riskini kontrol altında tutar.
Farklı Kredi Türlerinde Hesaplama
Tüketici Kredisi:
Standart annuitet yöntemi kullanılır.
Konut Kredisi:
Vadelere göre değişken faiz uygulanabilir; masraflar daha yüksektir.
Taşıt Kredisi:
Kasko ve zorunlu sigortalar maliyete eklenir.
Ticari Krediler:
Faiz dışı komisyonlar hesaplamayı etkiler.
Kredi hesaplaması, bireysel ve ticari finans yönetiminin temel bir parçasıdır. Doğru hesaplama yapmak, borçlanma maliyetini kontrol etmeyi ve bütçeye en uygun kredi türünü seçmeyi sağlar. Faiz, vade, masraf ve ödeme planı gibi unsurlar bütünüyle analiz edildiğinde, kredi kullanmak daha güvenli ve yönetilebilir hale gelir.







